简介
NJU 2025fall 形式语言与自动机 课程笔记,按个人理解整理,不保证完全正确!
参考资料:课程讲义
DFA,NFA与正则语言
DFA:每个状态对每个输入符号有唯一的下一状态
DFA和NFA语言表达上是等价的:
-
能够用 NFA 表达的语言,一定存在某个 DFA,能够表达出相同的语言;
-
能够用 DFA 表达的语言,一定存在某个 NFA,能够表达出相同的语言。
**NFA 和 ε-NFA 在语言的表达能力上是等价的。**
-
能够用 NFA 表达的语言,一定存在某个 ε-NFA,能够表达出相同的语言;
-
能够用 ε-NFA 表达的语言,一定存在某个 NFA,能够表达出相同的语言。
消除空转移
闭包性质
正则语言的泵引理
解释:
-
假设识别语言 L 的 DFA 有 n 个状态,现在取一个足够长的字符串 w,长度至少是 n。
-
当自动机从初态开始逐个读取字符时,读前 n 个字符时,自动机必然访问了 n+1 个状态。由于状态数只有 n,根据鸽笼原理,必然有两个位置访问到了同一个状态。把这段重复的路径对应的输入部分标记为 y(y就是第一个环),前面的部分是 x,后面的部分是 z。于是有 w=xyz
-
因为 y 是第一个环,所以 xy 长度不可能超过 n(即使最后一个状态上有第一个环,也才读取n个字符)。
上下文无关文法
对于同一个字符串可能有许多不同的推导。通过强制要求每次都替换最左边的变量(或者每次都替换最右边的量),我们可以避免这种不确定性。
通过从左往右扫描目标字符串,且只看下一个符号的方式,找到唯一一个你在最左推导中要使用的生成式,这样的文法称为 LL(1) 文法,LL(1) 文法是不会出现歧义的
歧义性的解决方法
-
根据优先级:运算符的优先顺序,深度越深,越远离开始节点,优先级越高。
-
根据关联性:决定哪个运算符先被执行。例如,在算术表达式中,乘法和除法运算符的优先级相同,但乘法运算符的关联性是左结合的,而除法运算符的关联性是右结合的。
例子:句子id+id*id和id+id+id可能的分析树 E→E+E | E*E |(E)| -E | id
消除歧义的关键:
-
划分优先级和结合性
-
引入一个新的非终结符,增加一个子结构并提高一级优先级(优先级的判断);
-
递归非终结符在终结符左边,运算具有左结合性,否则具有右结合性。
例子:消除歧义 S -> S + S | S * S | x
根据优先级,我们可以抽离出最高优先级元素(x),根据计算习惯,加法应该最后运算(也就是最先被解析),所以抽离出中间层(S*S)和最底层(S+S),因此可以这么消除歧义:
1 | E -> E + T | T |
例子:消除歧义:E→E+E | E*E |(E)| -E | id
-
优先级从低到高:
[+];[*];[( ), -, id] -
结合性:左结合
[+, *]右结合[-]无结合[id] -
非终结符与运算:
E:+(E产生式,左递归)T:*(T产生式,左递归)F:-,( ),id(F产生式,右递归)
最后结果:
1 | E → E + T | T |
消除产生式
去除空串
人话:
-
先找到所有可以推导为空串的符号。首先把最明显的一步能推出来的找到,再上溯找到所有
-
在每个产生式的右侧,把上述符号轮番去掉(排列组合地去掉)
去除单元产生式
人话:
-
单元产生式:右边只有一个变量的产生式,如 A→ B
-
想要消除单元产生式,如上例,如果有 B → a,那么就可以替换为 A→a从而消除
-
再来一个例子: 如何消除 S→E的单元产生式
去除无用变量
-
无法推导的变量:无法推导出由终止符组成的字符串(永不终结)。
- 去除算法:找到能一步推出终结符的变量,上溯找到更多可以推导的变量,无法找出更多后,把包含剩下变量的所有产生式去掉
-
不可达符号:一个变量或者终结符不会出现在任何从起始符号开始的推导中,那么它也应该被删除。(人话:从起始开始用不到的变量)
有了上述基础,我们知道如何删除掉无用变量:
-
一个符号是 有用的 (useful),如果它出现在了某个从起始符号到某个终结字符串的推导中,否则,它就是 无用的 (useless)。
-
删除所有的无用符号,通过:(顺序不可更改)
- 删除所有不能导出终结字符串的符号;
- 删除所有从起始符号不可达的字符串。
乔姆斯基范式
注:图中的“最多只创建一个变量”指的是自己创建的,不包括题中已经给出的
PDA/NPDA
**下推自动机 (Pushdown Automata, PDA)**是一种在语言的定义能力上和 CFG 等价的自动机。不过只有非确定性下推自动机才能定义所有的上下文无关语言。
-
1-PDA 识别上下文无关语言(CFL)。
-
2-PDA(或更多栈)识别递归可枚举语言(RE),等价于图灵机。
- 关键想法:两个栈可以模拟一个图灵机的带子(一个栈存带子左半部分,一个栈存右半部分,栈顶分别是读写头两边的符号)。
- 因此 2-PDA = 图灵机。
-
k-PDA (k ≥ 2) ⇨ 都是 RE,彼此等价。因为 2-PDA 已经与图灵机等价,增加更多栈不会增加语言识别能力(仍为 RE)。
CFG转化PDA
转化过程:
其实就是收集所有的右边不是终结符的产生式,将产生式右部压栈。对右边是终结符的就弹出栈。
注:比如A/0A的意思是栈中的A变成0A,1/ε 是把1从栈中弹出
上下文无关语言
字符串是否属于语言-CYK算法
——想要知道字符串w是否在上下文无关文法G描述的上下文无关语言L中。
注:
-
Xii指从第i个字符到第j字符形成的字符串
-
归纳的意思是,从i到j形成的字符串,每次分为两个部分,对两个部分可能的所有组合,查找有没有对应的产生式,有就加入这个字符串对应的集合(可以看手写的推导)
快速计算方法:比如算ababa的集合:
上下文无关语言的泵引理
我们要找一个足够长的串s∈L,使得对它任意一种满足 1, 2 的划分,**总存在(所有情况)**某个n使得3不成立,并且注意这个不成立是对L来说的,而不是不满足自己举的字符串例子
参考知乎原文
uvwxy定理是正则泵引理的推广,其实是在禁止套娃。
假设我们有这个简单的CF语法:
-
S → A
-
A → aA | b
通过A的套娃,我们可以产生形如aaa…aaaab这样的字符串。禁止套娃指的就是一条规则只能用一次,也就把我们能产生的字符串限定在了 {b, ab} 这个小小的集合内。
我们直觉上容易看出,如果禁止套娃,那么一个CF语法生成的字符串长度是有上限的。毕竟生成规则的个数是有限的,在用过了所有规则以后,只有套娃才能让字符串在纸上无限延申。
既然禁止套娃能生成的字符串长度是有限的,不如把最长的非套娃字符串的长度表示为L,例如上例中L=2。uvwxy定理说:所有长度大于L的字符串(他们自然全都是套娃字符串了)都可以被分解为uvwxy五个部分,其中u和y是无关紧要的前后缀,而vwx是一个套娃:v和x是套子,w是娃。
vwx是套娃是什么意思呢,意思是形如uvwxy,uv(vwx)xy,uv(v(vwx)x)xy,uv(v(v(vwx)x)x)xy这样的套娃全都可以通过这个语法生成。这些套娃的通式是$uvnwxny$ 。可以看出w是中心的那个最小的娃,它两旁的一层又一层的v…x组成了一层又一层的套娃。
**那么怎么把它收敛到我们一般说的正则泵引理(uvw定理)**呢?我们注意到对于正则语法,x和y必须是空的(等于 ϵ )(注:感觉这里的意思就是正则表达式结束了就不允许再有字符串产生)。因为我们既然能够对vwx进行套娃,那就说明这个套娃里在某个时间点存在non terminal,而正则语法不允许non terminal右侧有东西。换句话说,uvwxy定理收敛到了 $uvnw\epsilonn \epsilon=uv^nw$ ,也就是正则泵引理/uvw定理。
Ogden定理
只要标记每个点都是特异点,那么就可以从 Ogden 引理得到泵引理。也就是说 Ogden 引理是泵引理的推广。

注:
-
将a全设为标记点
-
v只有一种情况,那就是含若干数量(k)的 a
-
x有三种情况:
- 一种是含若干数量(h)的 a ,证明如上(就是证a和c数量相同)
- 一种是只含有 b(还是证a和c数量相同)
- 一种是含若干数量的 c (证a和b数量相同)
为什么case3必须要用阶乘,因为要保证每个n都有一个对应的i,或者说这个i是一个一定会存在的整数
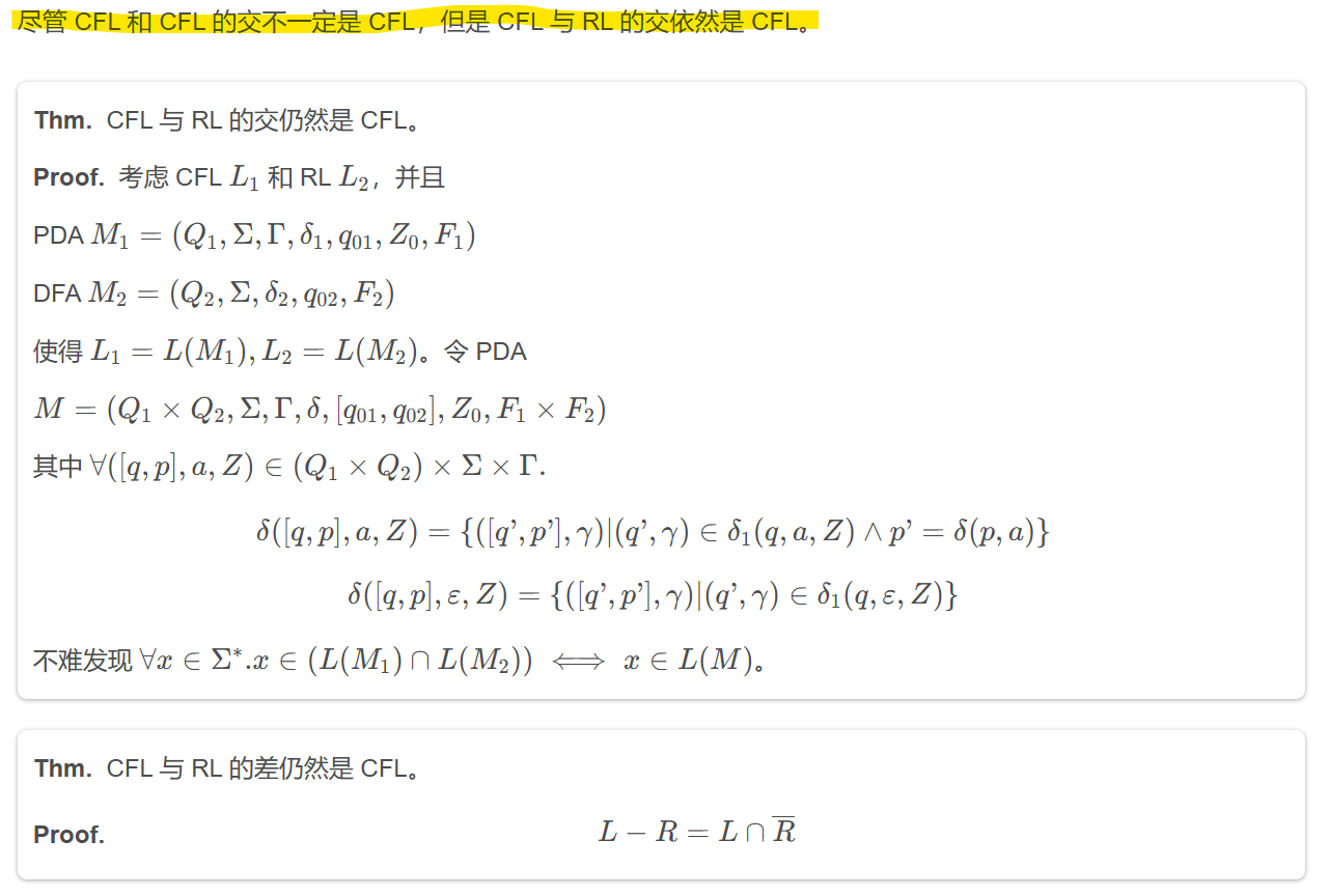
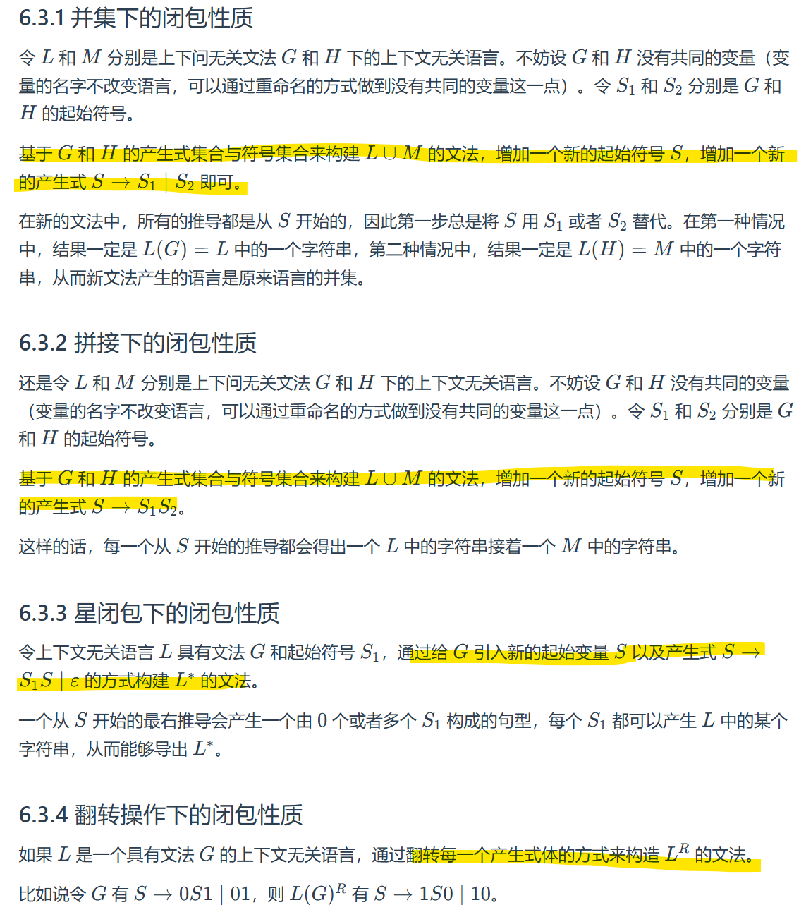
上下文无关语言的闭包性质
| 语言 | 封闭性 |
|---|---|
| 正则语言 | 交、并、补、连接、同态运算、反转 |
| 上下文无关语言 | 对交、补、差不封闭,对并、拼接、闭包、翻转封闭 |
证明核心思想:
构造$P’$:
$P’$ 的状态是形如 $[q,w]$ 的二元组:
-
$q$ 是原 PDA $P$ 的状态;
-
$w$ 是某个 $h(a)$ 的后缀(即 $h(a)$ 的一部分)。
举例:假设 $h(a)=“abc"$,那么 $w$ 可以是:"abc"(整个字符串)、"bc" 、"c" 、空串;这样的 $w$ 只有有限种可能,因为 $h$ 的定义域有限。
转移规则:
注:通俗来讲,整个过程就是:P’ 读取一个自己的输入符 → 将同态映射后的字符串存入缓冲区 → 从缓冲区模拟 P 的转移,消耗掉匹配的部分 → 直到缓冲区为空且 P 处于接受状态时,P’ 就接受了这个字符串。
例题:
证明:对交,补,差不封闭
图灵机
注:可以把状态q看作一个光标
图灵机编程
用图灵机编程的有一个关键的注意点就是保持两边都是无限的空格,不要在中间引入空格。
注:记录初始元素pre,之后遇到不同元素时切换状态,将pre更新(一次遍历修改元素)
注:过程分为左右两部分。左侧的部分完成右移操作(参考例2),右侧部分完成将最右侧元素“携带”到最左侧的操作,最后终止。
注:题目指纸带上最后只剩下返回值n/y,红色转移以及右侧部分是判断字符串满足L后,将字符全部转化为a(除了第一个b),最后清除所有的a,将仅剩的第一个b转化为y后终止。蓝色转移以及左侧部分是在发现不满足L后,将后续字符全部变为a,直到遇到B,然后向左回来将所有的a清除,直到仅剩的第一个b(初始为b或者第一个a转化而来),将b变为n后终止。
多道 (Multiple Tracks)
我们可以将纸带符号视为是一个有 k 个分量的向量,每一个分量都来自于一个有穷的字母表。
这使得纸带看起来好像有 k 个磁道,但实际上还是一个纸带,我们将这个向量整体视为一个符号。
假设除了某一个磁道以外的所有输入符号都是空,则这个多道程序就退化成了之前的单道程序。
标记 (Marking)
对于一个额外磁道的通常的作用是来 标记 (mark) 特定的位置。在这一磁道上,几乎所有的纸带符号都是空的,只有一些特定的位置上放置了一些特殊的符号(标记),这使得图灵机能够很方便地在纸带上寻找这些特定的位置。
缓存 (caching)
其实,不仅符号可以是一个向量,状态也可以是一个向量。向量的首分量是“控制状态”,其余分量存放来自一个有穷字母表的数据。于是,我们得到了一个具有存储功能的图灵机。
闭包
-
递归可枚举语言和递归语言在并集、拼接、星闭包、翻转、交集以及逆同态操作下都是封闭的。
-
递归可枚举语言在同态操作下是封闭的。
-
递归语言在差集、补集操作下封闭。
-
有限语言 ⊆ 正则语言 ⊆ 递归语言 ⊆ 递归可枚举语言
判定性与复杂度
判定性—停机问题
-
HALT 不是可判定的,但它是可识别的
-
ATM不可判定
-
ETM不可判定
递归可枚举语言(RE,recursive enumerable language):还可以叫图灵可接收语言(Turing-acceptable language)图灵可识别语言(Turing-recognizable language)等。一个语言是递归可枚举语言,当且仅当存在一个图灵机,该图灵机仅接收该语言中的字符串(也就是说,对于不在该语言中的字符串,该图灵机可以拒绝(reject)或者永远不停机)。
定义一个递归可枚举(RE)语言的补集为 co-RE。
一个语言是可判定的,当且仅当存在一个图灵机,该图灵机接收该语言中的字符串,拒绝不在该语言中的字符串。这样的语言又叫递归语言。一个语言如果是 递归(可判定) 则它既是 RE 又是 co-RE。
HALT 的补集不是递归可枚举的。
P,NP
-
P类问题:存在多项式时间算法的问题。
-
NP问题:能在多项式时间内验证得出一个正确解的问题。(NP:Nondeterministic polynominal,非确定性多项式)。
-
P类问题是NP类问题的子集(即存在多项式时间算法的问题,总能在多项式时间内验证它,一个简单的例子,给定一个可能的答案,只要算出真实的解和这个答案比较一下就知道了)
- 注:NP我们可以在多项式时间内验证并得出这个问题的一个正确解。
-
NPC类问题(NP complete,Nondeterminism Polynomial complete):存在这样一个NP问题,所有的NP问题都可以约化成它。换句话说,只要解决了这个问题,那么所有的NP问题都解决了。
- 其定义要满足2个条件:首先,它得是一个NP问题;然后,所有的NP问题都可以约化到它。
- 要证明npc问题的思路就是: 先证明它至少是一个NP问题,再证明其中一个已知的NPC问题能约化到它。(NP完全理论)
-
NP难问题(NP-hard问题):NP-Hard问题是这样一种问题,它满足NPC问题定义的第二条但不一定要满足第一条(就是说,NP-Hard问题要比 NPC问题的范围广,NP-Hard问题没有限定属于NP),即所有的NP问题都能约化到它,但是它不一定是一个NP问题。
典型NPC问题:
注:≤ₚ:表示存在一个多项式时间可计算的转换函数(多项式时间归约)
归约
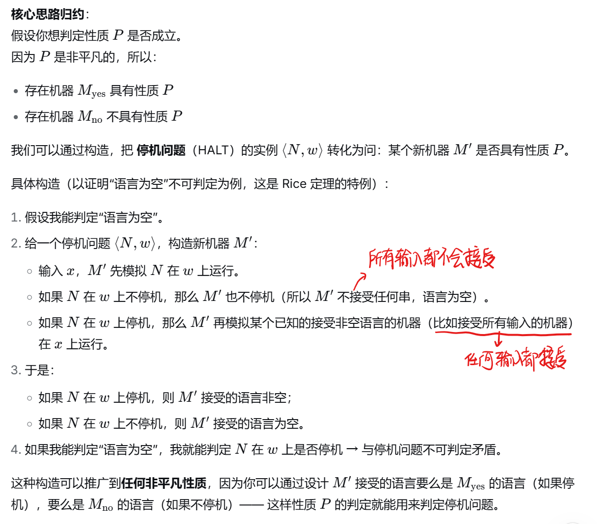
Rice定理
非平凡 = 存在至少一个图灵机有这个性质,也至少有一个图灵机没有这个性质。
Rice 定理:任何非平凡的、关于图灵机语言的性质,都是不可判定的。
递归可枚举语言的所有非平凡性质都是不可判定的。
SAT问题
如果存在某种对于逻辑变量的赋值方式,使得某个布尔表达式为真,则称这个布尔表达式是可满足的。
SAT问题就是:给定一个布尔逻辑表达式,判断是否存在一组对变量的真值赋值,使得整个表达式为真。 如果存在,我们称这个表达式是“可满足的”。
SAT 问题是 NP 完全 的。
3SAT 问题也是一个 NP 完全问题:
给定一个有穷的布尔变量集合$X={x_1,x_2,…,x_n}$,变量 $x_i$ 取值为 $1$ 或者 $0$,另有一组子句$C={c_1,c_2,…,c_m}$,$\mathbb{C}= c_1 \land c_2 \land … \land c_m$,$c_i = x_j \lor x_k \lor x_l$。求是否存在一组取值使得 $\mathbb{C}$ 为真,即任意 $c_i$ 为真。
迁移网络,时间自动机
演变路径指的是从某个状态出发,按照迁移系统的边(考虑所有可能的输入选择)能无限进行下去的状态序列,这些路径必须是可达的(即必须存在相应的迁移)。
路径量词
| 符号 | 意思 | 例子 |
|---|---|---|
| A | 对所有路径(All paths) | “无论怎么走,都会…” |
| E | 存在一条路径(Exists a path) | “有可能走出一条路使得…” |
时序算子
| 符号 | 意思 | 例子 |
|---|---|---|
| G | 一直(Globally) | “一直保持…” |
| F | 最终(Finally) | “最终会到达…” |
| X | 下一步(neXt) | “下一步会…” |
| CTL公式 | 中文意思 | 类比 |
|---|---|---|
| AG φ | 总是φ | “天总是蓝的”(永远成立) |
| AF φ | 最终总会φ | “人最终都会死”(必然发生) |
| EF φ | 有可能φ | “明天有可能下雨”(可能发生) |
| EG φ | 有可能一直φ | “有可能一直不下雨” |
| AG (φ → AF ψ) | 如果φ发生,最终一定会ψ | “如果下雨,地面最终会湿” |